When in an insulation system, the voltage gradient exceeds a critical voltage, the air molecules surrounding the high voltage transmission line conductors become ionized resulting in partial discharges.
The effects of corona are cumulative and permanent and the failure can occur without warning. In insulation system, corona discharges result in voltage transients. The effects of corona associated with the operation of high voltage transmission lines include radio interference, audible noise, gaseous effluents like Ozone and Nitrogen oxide and shock potential.
Conductor voltage, diameter and shape, dusts, water drops, and surface irregularities such as scratches are factors that affect the performance and conductor’s electrical surface gradients. The energy loss due to corona is transformed into sound, radio noise, chemical reactions of the air components and heat.
How much Power Loss due to Corona?
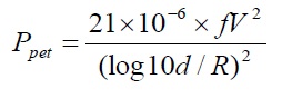
According to Peek’s formulas, the power loss due to corona under fair weather conditions can be expressed as:
Where f = frequency of power
δ = Air density correction factor
V = Operating voltage in kV
Edcv = Critical disruptive voltage
R = Radius of conductor
d = Distance between two conductors
The normalized air density correction factor, δ is 1 at 250C at 760 mm of Hg pressure. Under the stormy weather conditions, the Disruptive Critical Voltage (Edcv) is taken as 0.8 times that of the fair weather value. Where the ratio of the phase voltage to the disruptive critical voltage is less than 1.8, Peterson formula is used for determining the corona loss. This is given as:
Factors Affecting Corona Loss:
Atmospheric Conditions like Pressure and Temperature:
Corona loss is a function of Air Density Correction Factor and the higher the value, the less the corona Loss. At low pressure and high temperatures, the value of disruptive critical voltage is small and corona effect and loss is dominant.
The Inception Corona Voltage and the Disruptive Critical Voltage:
The visual inception corona voltage is more than the disruptive critical voltage because its formation involves ionization and the raising of electron to an excited state. This excitation produces light by discharge and other electromagnetic waves. Figure below shows the graphical comparison of the Visual and Disruptive Corona Voltage at various radii of the conductor. The conductor radius is directly proportional to both visual corona voltage and disruptive critical voltage.
Spacing Between Conductors:
Figure below shows the corona loss under fair weather condition at various spacing between the conductors. Corona loss is inversely proportional to the spacing between conductors. If the spacing is made to be very large, corona loss may be absent.
The Supply Frequency:
Figure below shows that the higher the supply frequency, the higher the corona loss. The DC corona loss is less than that of AC corona loss. The effect of corona on AC. lines generates third harmonic components that increase the corona loss.
Line Voltage:
Corona starts for voltages higher than the disruptive critical voltage. The higher the supply voltage the larger the corona loss.
Stormy and Fair Weather Conditions:
Stormy or bad atmospheric weather conditions like snows, rains and hailstorm reduce Disruptive Critical Voltage and increases the corona effects. Figure below shows the graph of corona loss at both the stormy and the fair weather conditions at different values of Disruptive Critical Voltages. The results show that the lower the value of disruptive critical voltage, the higher the power loss due to corona.
How to minimize Corona Loss?
Following methods are adopted to minimize the Power Loss due to Corona.
-
The use of bundle conductors reduce corona loss.
- Spacing between conductors is selected so that corona is tolerable.
- Since the shape of conductors affect corona loss, cylindrical shape conductors have uniform field that reduces corona loss than any other shape.
- The voltage stress and electric field gradient should be minimized which can be accomplished by using good high voltage design practices. Using conductors with large radii reduce corona loss.
- Void free solid conductors and insulators should be used.
-
Corona formation can be suppressed, if the terminals on high voltage equipment are designed with smooth round diameter rounded shapes like balls and the addition of Corona Rings to insulators of high voltage transmission lines.
Thank you!






Great site. Cheers for posting.
Thank you Necole! Please share the post if you like it.