To understand this aspect making current and breaking current, first we should know what actually the making current and breaking current signifies in context with Circuit Breaker.
Making Current of a Circuit Breaker is the peak value of maximum current loop during subtransient condition including DC component when Breaker closes. In the figure below, I1 represents the Making Current of Circuit Breaker excluding the DC component.
Basically, the capacity of a Breaker to make current depends upon its ability to withstand and close successfully against the effect of electromagnetic forces. As we know that Electromagnetic Force is directly proportional to square of current, therefore while the Breaker is closing maximum electromagnetic force on its contact will be seen when the current is at its peak value. This reason, Making Current of a Circuit Breaker is specified in term of peak value of current.
Again, it may happen so that the Breaker is being closed when the fault is existing, in that case also the breaker should be designed to withstand the electromagnetic forces. Let us consider the most severe condition in which Breaker is being closed.
The most severe condition is phase to short circuit fault during which the current through the phase wire will be maximum for subtransient condition (subtransient means first one or two cycles of current) and after that current decreases. After 8 to 10 cycles, i.e. Transient state the current decreases further and steady state is reached. Thus we see that before current reaches steady state, there are two sates Subtransient and Transient state where the current decays down to achieve steady state.
In the figure above, it is quite clear that the nature of current is asymmetric. This is because of presence of DC component of current but at steady state the current becomes sinusoidal i.e. symmetric.
Breaking Current of Circuit Breaker:
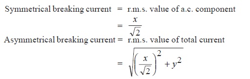
Breaking Current of a Circuit Breaker depends on the instant on the current wave where the contacts of Breaker start separating. In the figure below, the contact start separating at AB. Let the symmetric component of current at AB is x amp and the value of DC component is y amp.
Therefore,
Note that Breaking Current of Circuit Breaker is always given in RMS. Here, there are two things which should be noted. The Breaking Current can be specified in Symmetric Breaking Current or Asymmetric Breaking Current. In India, Breaking Current is specified in terms of Symmetric Breaking Current whereas in USA it is in Asymmetric Breaking Current.
From the above discussion, it is clear that Making Current is peak value of current during Subtransient state including the DC offset value where as Breaking Current is RMS value of current at the instant of Breaker Contact separation. Therefore, making Current must be higher than the Breaking Current.
Relationship between Making Current and Breaking Current:
If the symmetrical Breaking Current is known then Making Current can be obtained as follows.
Let symmetrical breaking current = I
Then, peak value of symmetrical Breaking Current = 1.414xI
Now, we need to include the DC componenet of current to get making Current. As the DC component of Current during subtransient state is almost equal to the peak value of current, therefore
Making Current = 1.414xIx1.8
= 2.55xI
Thank you!



Explanation given is very easy to understand.
It was joyful.
Thank you.